

文章信息
期刊:Global Change Biology
题目:Balancing water yield and water use efficiency between planted and natural forests: a global analysis
作者:Shulan Sun, Wenhua Xiang*, Shuai Ouyang, Yanting Hu, Changhui Peng
时间:2024-9-27
DOI:https://doi.org/10.1111/gcb.17561
研究背景
森林生态系统功能和服务高度依赖于碳固存与水消耗之间的有效平衡,而这一平衡对减缓全球气候变化至关重要。近年来,人工林因其在碳固存和木材生产方面的关键作用,愈发受到广泛关注。然而,大面积造林与再造林活动可能对局部水平衡产生不利影响。由于气候条件及林分特征(如树种、森林覆盖、树高、基底面积、林龄)的差异,人工林对产水和水分利用效率的影响存在分歧,引发了关于森林-水关系的持续讨论,尤其是在干旱或洪涝频发的地区。
研究需突破的瓶颈
(1) 明确人工林和天然林在不同气候区域中产水量、水分利用效率的差异;
(2) 探索这些差异如何受到林分特征、树种以及生态系统结构复杂性的影响;
(3) 识别这些差异在哪些气候区域更为显著,并为该地区的水资源管理和造林策略提供科学依据。
研究数据和方案
本研究利用有关人工林和天然林产水的112篇文献中946条数据(其中,人工林492条,天然林454条)(图1),基于干旱指数(AI),将研究区域划分为干旱区(AI≤0.5)、半湿润区(0.5<AI≤0.65)和湿润区(AI>0.65)三个气候区,重点探讨了人工林与天然林在不同气候区产水和水分利用效率的分布情况。具体而言,湿润区共有750条数据(其中人工林占53.5%,天然林占46.5%),半湿润区共有90条数据(人工林占47.8%,天然林占52.2%),干旱区则有106条数据(人工林占45.3%,天然林占54.7%)。

图1 全球研究样点分布
核心结果和关键发现
(1) 全球人工林和天然林平均产水系数分别为0.29和0.34。与天然林相比,人工林在干旱区、半湿润干旱区和湿润干旱区的产水系数均低于天然林(p<0.05)(图2),而水分利用效率仅在干旱区高于天然林(p<0.01)(图3);
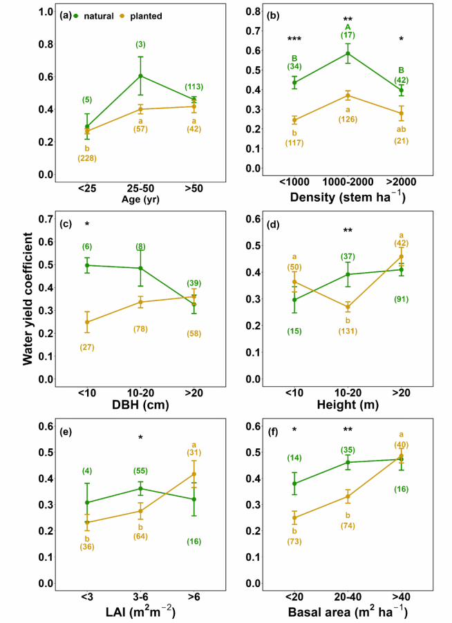
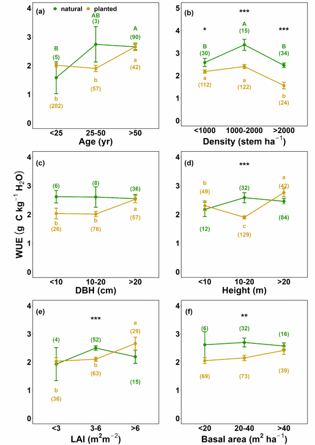
(2) 人工林在林分特征(林分密度、平均树高、叶面积指数和胸高断面积)的产水系数和水分利用效率均显著低于天然林(p<0.05)(图4和图5)。人工林和天然林的产水量和水分利用效率在林分密度为1000-2000株/公顷范围内均可达到最大(图4和图5);
(3) 人工林产水系数主要受树木生长相关因子(即树高、胸径)的控制,天然林产水系数主要受林分结构(即LAI、林分密度、胸径)的影响(图6);与天然林相比,人工林水分利用效率对气候更敏感(图7)。

图2 全球人工林和天然林产水系数在干旱区、半干旱半湿润区、湿润区分布

![]()
图3 全球人工林和天然林水分利用效率在干旱区、半干旱半湿润区、湿润区分布

![]()
图4 全球人工林和天然林产水系数在不同林分特征组的分布及差异

图5 全球人工林和天然林水分利用效率在不同林分特征组的分布及差异

图6 全球人工林和天然林产水系数驱动因子分析

图7 全球人工林和天然林水分利用效率驱动因子分析
主要结论
这项工作强调了在干旱区应更加重视水资源管理和造林树种的选择,以避免有限水资源的过度消耗,确保人工林的可持续发展。最重要的是,尽管人工林比天然林消耗更多的水,但干旱地区人工林的碳吸收速度更快。这表明,通过有效的水资源利用,特别是在水资源有限的地区,人工林可以提供更多的木材生产和干物质积累。因此,未来的造林项目应确定如何在固碳和储水之间取得平衡,以最大限度地发挥森林恢复和全球绿化的生态功能。此外,优化林分种植密度和调整林分结构的管理策略(如适当间伐)可以最大限度地提高森林的产水和水分利用效率。本研究突破了以往认识的瓶颈,明确了干旱、半干旱半湿润和湿润3个气候区人工林与天然林产水和水分利用效率差异的分布格局,探讨了这些差异的驱动机制,强调了在造林过程中需要更加重视水资源管理和树种选择,为全球森林管理提供了重要的科学依据。
中南林业科技大学生命与环境科学学院、湖南会同杉木林生态系统国家野外科学观测研究站2021级博士研究生孙淑兰为第一作者,项文化教授为通讯作者,合作作者包括加拿大蒙特利尔大学彭长辉教授等。本研究得到了国家重点研发计划项目(2021YFD2200403和2021YFD22004023)、国家自然科学基金(32071561和32371849)、国家林业局会同森林生态站运行项目(2023132053)、国家留学基金委等项目的资助。
文章链接:Sun, S., Xiang, W., Ouyang, S., Hu, Y. and Peng, C. (2024), Balancing Water Yield and Water Use Efficiency Between Planted and Natural Forests: A Global Analysis. Global Change Biology., 30: e17561. https://doi.org/10.1111/gcb.17561

当前位置:
