新粗毛革耳(Panus lecomtei)为担子菌门、多孔菌科、革耳属真菌,具清热解毒、消肿敛疮等功效,为待开发的一种食药用真菌,其代谢产物具有潜在营养和药理价值,因此,对该菌代谢产物进行挖掘、分析评估,并对其生物合成途径进行研究具有重要意义。
Prenyl quinone是几种高价值化合物的重要前体,在氧化代谢和电子传递中发挥重要作用。前期从新粗毛革耳中分离的次级代谢产物主要为prenyl quinone类杂萜,因此,开展新粗毛革耳中prenyl quinone类杂萜化合物的系统发掘及生物合成路径的研究很有必要。
我院生物学科微生物生理代谢与绿色发酵团队,全面分析了新粗毛革耳中prenyl quinone类化合物及其合成途径。首先通过非靶向代谢组学结合全球分子网络平台(GNPS),对三组新粗毛革耳发酵提取物中的代谢产物进行了综合分析,揭示了新粗毛革耳中主要的次级代谢产物类型及可能的转换关系,并获得了2000多个差异代谢产物;具体通过现代分离纯化技术,分离鉴定获得7个prenyl quinone类化合物,其中化合物3(2,2-dimethyl-2H-1-benzopyran-6-ol)展现出良好的抗氧化活性;化合物5( 4-(1′,1′,2′,2′-tetramethylpropyl)-1,2-benzenediol)为首次在真菌中发现。
进一步基于已有化合物信息及代谢网络数据构建了新粗毛革耳中prenyl quinone类代谢产物基本生物合成路径。研究成果以“Isolation, structural elucidation and biosynthetic pathway of bioactive prenyl quinone compounds from Panus lecomtei based on untargeted metabolomics combined with molecular networking”为题,于2024年9月12日发表在农林领域国际主流期刊《Food Chemistry》(中科院 1区Top,IF 8.5)。论文第一作者为2021级博士生王思贤,通讯作者为刘高强教授和王晓玲副教授,第一单位为中南林业科技大学。


主要结果图表:


▲Panus lecomtei 的分子网络
基于MS/MS数据通过GNPS分析,获得了新粗毛革耳中与prenyl quinone类次级代谢产物相关的两个主要簇(a-b),随后通过对分子网络进行MCODE分析,获得了该菌中次级代谢产物的关键子网络(c-f),主要为prenyl quinone类化合物及黄酮类化合物。


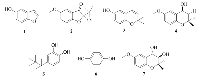
▲从Panus lecomtei 液体发酵物中分离鉴定获得的次级代谢产物
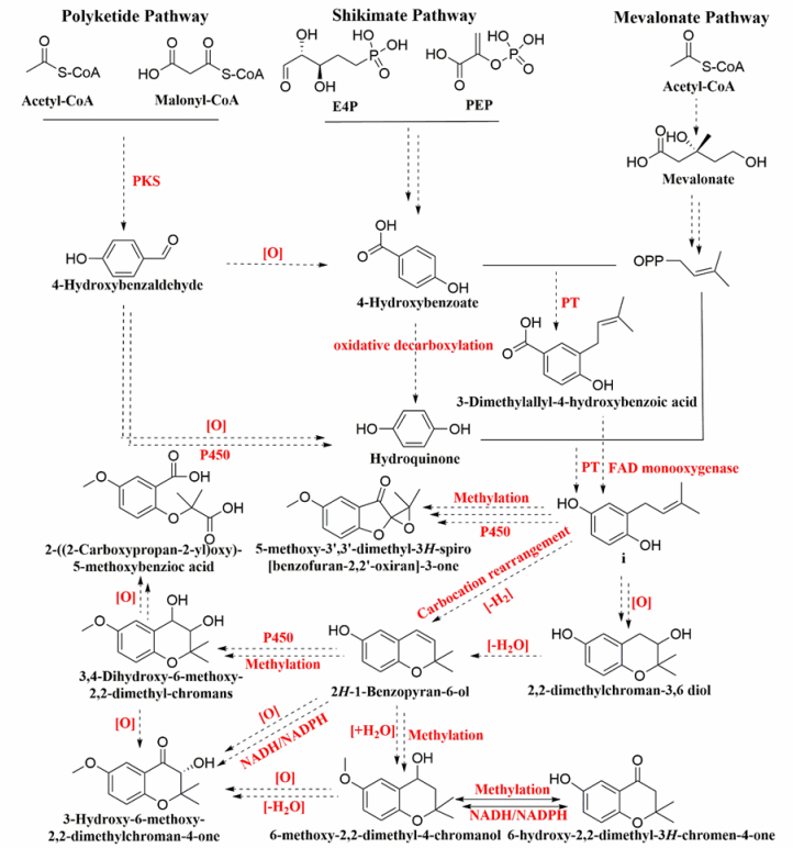
结合活性筛选数据,通过现代分离纯化手段,从E提取物组中分离纯化得到7个prenyl quinone类似物,其中化合物3对DPPH及ABTS具有较强的自由基清除率,IC50值分别为3.65 μg/mL和0.56 μg/mL。基于此结果,结合已揭示的来源于新粗毛革耳的prenyl quinone类化合物,提出了可能的生物合成路径(如下图)。


▲Panus lecomtei 中prenyl quinone杂萜可能的生物合成途径
其他6个附表、17个附图,详见期刊网上链接:https://doi.org/10.1016/j.foodchem.2024.141275
该研究基于非靶向代谢组学结合具体分离纯化,在新粗毛革耳中发现了丰富的prenyl quinone类化合物,分离鉴定出7个prenyl quinone类衍生物,其中化合物3具有较强的抗氧化和抗菌活性,化合物5为首次在真菌中发现。此外,还首次提出了prenyl quinone类化合物可能的生物合成途径。该研究为新粗毛革耳的开发利用提供了丰富的代谢产物数据,有利于该菌在代谢产物多样性、生物合成和药理学等领域的进一步研究;同时也为微生物中prenyl quinone类化合物的生物合成研究提供参考。
原文链接
https://www.sciencedirect.com/science/article/abs/pii/S030881462402925X

当前位置:
