我院可持续生态学团队湿地生态学组在环境科学与水文学领域国际顶级期刊《Journal of Hydrology》上发表了题为“Tracing nitrate sources and transformations using nitrogen and oxygen isotopes in the second largest freshwater lake of China”的研究论文。本研究聚焦中国第二大淡水湖洞庭湖,创新性地应用氮氧稳定同位素技术,揭示了湖泊硝酸盐污染的来源与迁移转化规律。
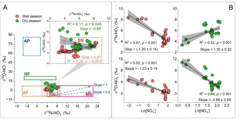
由于硝酸盐污染是当今全球面临的重要水环境问题,传统溯源方法主要依赖氮(δ¹⁵N)和氧(δ¹⁸O)双同位素技术,但该方法存在源信号重叠(如大气沉降硝酸盐δ¹⁵N和δ¹⁸O变异范围较大)、生物过程干扰等局限性。本研究创新性地将氧同位素异常(Δ¹⁷O)引入贝叶斯混合模型(SIAR),实现了对洞庭湖硝酸盐污染来源的精准解析。研究团队通过对洞庭湖干湿两季的监测发现,洞庭湖硝酸盐主要来源于陆源输入,其中土壤氮贡献与人为活动的直接贡献源(农田施肥和污水排放)接近(图1),这可能体现了我国水体氮污染治理的成效。另外,湿季洞庭湖水体反硝化作用强度高于干季,但整体影响有限(图2)。更为重要的是,研究首次定量区分了大气氮沉降的直接与间接输入途径。结果显示,间接大气沉降(即氮沉降至流域陆地后经径流汇入湖泊)是大气氮输入的主要途径,在湿季和干季分别占总大气沉降输入通量的95.2%和89.9%(图3)。这一发现表明,传统上仅关注直接沉降到湖面的大气氮输入会严重低估大气污染对水生态系统的实际影响。该研究不仅具有重要的理论价值,为复杂水体氮循环研究提供了新的方法框架,同时为洞庭湖流域乃至类似区域的氮污染控制提供了直接的科学依据。

图1. 不同季节各来源对洞庭湖水体NO3-的贡献

图2. 氮氧双同位素图(A)及其与洞庭湖水体NO3-浓度之间的关系(B)
图3. 大气沉降对洞庭湖水体的直接和间接贡献
本论文第一作者为中南林业科技大学李郑杰副教授,合作单位包括华东师范大学等相关高校,通讯作者为华东师范大学史贵涛教授和中南林业科技大学卢伟志教授。研究获国家自然科学基金(32301404和32371679)等项目的资助。(一审李郑杰 二审雷丕锋 终审陈永华)
论文链接:https://authors.elsevier.com/a/1lx9d52cui-ZW

当前位置:
